如何靠一个公式赚4000万美元
在 Polymarket 预测市场里,最稳定的一类盈利方式,并不是押方向和猜未来,而是利用价格之间的数学关系,这类策略在2025年从Polymarket里狂赚了4000万美元。
在一个最简单的二元市场中,比如:
“美联储是否在 12 月降息?”
市场会有两个代币:
YES
NO
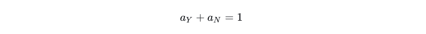
按照条件代币框架的设计,这两个结果是:互斥且穷尽的。
也就是说,未来只可能发生其中一个。
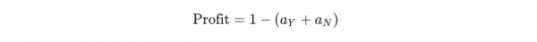
因此在理论上,它们的价格之和应当等于 1。
用公式表示:
如果市场完全有效,这个等式会始终成立。
什么是Polymarket套利
但现实市场永远存在:
- 流动性断层
- 做市商撤单
- 市场瞬时冲击
- 订单簿延迟
当价格出现偏离时,就会产生套利空间。
如果出现:
那么理论上就可以:买入 YES,买入 NO;总成本小于 1,无论结果如何,都可以在结算时拿回 1 USDC。
利润即为:
下图就是一个成功套利的例子
为什么这种偏离会发生?
预测市场并不是一个统一的连续市场。
它采用链下订单簿撮合,链上结算的混合架构。
订单簿本身存在:
- 挂单撤单延迟
- 流动性分布不均
- 盘口深度不对称
假设 YES 的卖一是 0.40,
NO 的卖一是 0.58。
表面上看:
0.40 + 0.58 = 0.98
存在 2% 的空间。
但真实交易不能只看卖一。
如果第一档数量只有 200 USDC,而你想做 10,000 USDC 的套利,就必须向下穿透订单簿。
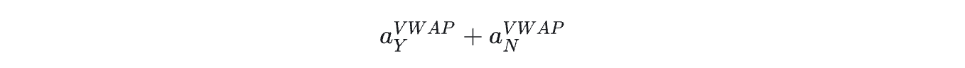
此时需要计算加权平均成本:
当穿透后的成本仍然满足:
套利才真正成立。
从套利逻辑到量化系统
当套利空间存在时,问题变成:
如何稳定捕捉它。
一个成熟的自动化套利系统通常包含四个模块:
- Scanner 市场扫描器
- Monitor 行情监控器
- Executor 执行引擎
- Settler 结算引擎
它们分别解决四个问题:
- 哪里有机会
- 机会是否真实
- 如何无风险执行
- 如何回收资金
1. Scanner:筛选可成交市场
从Polymarket 的 Gamma API 获取市场数据。
并做基础过滤,只保留满足以下条件的市场:
- active = true:表示市场当前处于活跃状态,可以正常交易。
- closed = false:表示市场尚未结束或进入结算阶段。
- enable_order_book = true:表示该市场启用了订单簿(CLOB)交易结构,支持限价单和深度数据。
- volume > 阈值:表示市场有足够成交量和流动性,具备实际可套利规模。
这些条件确保系统只对“还能交易、结构完整、流动性足够”的市场进行套利计算,避免在无效或低流动性的市场上浪费计算和资金。
2. Monitor:实时计算套利结构
REST 轮询无法满足速度要求,必须通过 WebSocket 维护本地订单簿镜像。
系统实时维护:
- Best Ask
- 深度分布
- 每档数量
然后动态计算:
若低于 1 且超过安全阈值(例如 0.005),触发信号。
同时计算最大可套利规模:
套利容量受容量薄弱一侧限制。
3. Executor:解决单腿风险
套利必须双腿同时成交。
如果 YES 成交而 NO 未成交,就会产生方向风险。
假设价格突然变动 5%,规模为 50,000 USDC,则风险敞口为:
执行层的关键在于:
- 并发下单
- 成交确认
- 未成交撤单
- 风险阈值控制
因此通常需要:
- 使用 asyncio 或多线程实现并发 HTTP 请求,确保 YES 和 NO 订单几乎同时发送。
- 在策略层模拟局部 FOK 逻辑,减少单腿成交风险。
执行风险控制通常包含三种机制:
FOK(Fill Or Kill)
FOK 订单要求要么全部成交,要么立即取消。在 Polymarket 当前 API 结构下,主要支持 GTC/GTD 类型的限价单,因此无法直接调用原生 FOK。量化系统通常通过“极速成交确认 + 未成交立即撤单”的方式模拟 FOK 效果。这对延迟要求极高。
IOC(Immediate Or Cancel)
IOC 允许部分成交,剩余未成交部分立即取消。这种方式可以减少长时间挂单带来的价格波动风险,但仍然可能产生单边仓位,需要配合止损或对冲逻辑。
超额收益阈值(Safety Buffer)
系统通常不会在极小价差下执行套利,而是设置触发阈值,例如价差 > 2%。这个缓冲区用于覆盖滑点、撤单延迟以及单边成交后可能产生的反向冲击成本。
4. Settler:合并与复利
买入 YES + NO 后,资金被锁定。
必须调用 mergePositions 合约,将其合并回 USDC。
合并成功后资金回到账户,可再次参与套利。
资金周转率决定真实收益。
若单次套利收益 1%,每日周转 8 次,则理论日收益接近 8%。
Polymarket 套利的发展趋势
随着机构做市商(如 Wintermute,Jump)逐步进入预测市场,简单的二元合约价差已经被迅速压缩,价格也会越来越接近理论概率。那些依赖买卖价差的基础套利机会,未来很可能会越来越少。
但套利不会消失,而是转向更复杂的结构。
一方面,是同一事件互斥结果的概率关联套利。例如,在同一事件下的多个互斥结果之间,也可能出现定价失衡。理论上,这些互斥选项的 YES 概率之和应该接近 1。如果市场出现偏差,比如几个选项的 YES 价格加起来明显高于或低于 1,就会形成套利空间。套利者可以通过同时买入被低估的结果、卖出被高估的结果,锁定这部分定价误差。
另一方面,是事件之间的概率关联套利。例如,“美联储在今年内降息”与“美国经济进入衰退”之间存在明显的条件概率关系。如果市场对这两个事件分别定价,但两者隐含的概率关系出现明显偏离,就可能产生套利空间。
最后,是跨平台套利。如果 Kalshi、PredictIt 等预测市场未来开放 API,并解决资金流转与结算效率问题,不同平台之间的价格差异很可能成为新的套利来源。这一领域仍处在早期阶段,对量化交易者来说仍是一片潜在的蓝海。








